4.모터제어방식
4. 모터 제어 방식 – 회전을 똑똑하게 제어하는 기술
전기를 얼마나 똑똑하게 넣느냐가 성능을 결정한다
모터는 단순히 전기를 연결한다고 해서 항상 잘 돌아가는 게 아니에요.
**속도, 위치, 힘(토크)**을 우리가 원하는 대로 조절하려면 제어 방식이 아주 중요합니다.
이번엔 모터를 제어하는 여러 방식과 원리를 수식과 함께 알아볼게요!
🔁 1. 오픈 루프 제어 (Open Loop Control)
"전기를 넣으면 돈다. 얼마나 돌지는 신경 안 쓴다."
오픈 루프 제어는 입력만 조절하고, 출력(속도, 위치)은 측정하지 않는 방식이에요.
대표적으로 스테퍼 모터에서 자주 사용되며, 예측 가능한 시스템에서만 효과적입니다.
- 장점: 구조 단순, 빠른 반응
- 단점: 외부 부하에 따라 출력이 바뀜
예시
🔄 2. 클로즈 루프 제어 (Closed Loop Control)
"지금 얼마만큼 돌고 있는지 확인하고, 그에 맞게 조절한다."
이 방식은 센서를 이용해 **현재 상태(속도, 위치, 전류 등)**를 실시간으로 측정하고, 목표값과 비교하여 오차를 줄입니다.
모든 고급 모터 제어의 핵심 원리입니다.
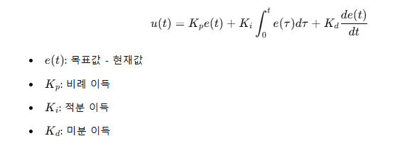
🧮 3. PID 제어의 기본 원리
클로즈 루프의 대표적인 알고리즘은 PID 제어기입니다.
목표값과 현재값의 차이(=오차)를 계산해 출력 신호를 조절합니다.

PID 제어기를 통해, 모터의 속도, 위치, 토크를 정밀하게 제어할 수 있어요.
⚡ 4. PWM 제어 (Pulse Width Modulation)
"전압을 조절하지 않고, 켜짐 시간 비율을 조절한다!"
모터는 아날로그처럼 전압을 부드럽게 조절할 수 없기 때문에, PWM 방식을 사용합니다.
쉽게 말해, 전기 스위치를 엄청 빠르게 ON/OFF 하며 평균 전압을 만들어냅니다.
예시
- PWM 50% → 전압의 절반처럼 동작
- PWM 90% → 거의 풀파워
- PWM 10% → 아주 천천히 회전
👁️ 5. 센서드 vs 센서리스 제어
🟢 센서드(Sensored)
- Hall Sensor 또는 Encoder를 이용해 회전 위치나 속도를 직접 측정
- 정확하고 안정적이나, 센서 비용 및 노이즈 이슈 있음
🔵 센서리스(Sensorless)
- 센서 없이 전류/전압 신호를 분석하여 모터 위치를 추정
- 비용 절감 가능, 소형/경량에 유리하지만 알고리즘이 복잡
그림 설명:
센서드: "실시간으로 위치를 알려주는 GPS 느낌"
센서리스: "나침반과 속도계로 대략 내 위치를 추정하는 느낌"
🔁 6. FOC(Field-Oriented Control) – 고급 BLDC 제어
BLDC나 PMSM 모터에서 자주 쓰이는 제어기법입니다.
모터의 회전 자계와 자속 방향을 맞춰 최적의 효율과 성능을 확보합니다.
id=0,iq→토크 제어i_d = 0, \quad i_q \rightarrow \text{토크 제어}
- idi_d: 자속 성분 전류 (최소화)
- iqi_q: 토크 성분 전류 (최대화)
FOC는 전류를 벡터처럼 다루는 제어기법이며, 정밀 제어에 필수입니다.
🧠 정리 요약
| 오픈 루프 | 상태 측정 없음 | 스테퍼 | 쉬움 | 없음 |
| 클로즈 루프 | 센서로 상태 피드백 | BLDC, 서보 | 중간~높음 | 있음 |
| PWM 제어 | 전력 조절 방식 | 전 모터 | 낮음 | 무관 |
| PID 제어 | 오차에 따라 보정 | 전 모터 | 중간 | 있음 |
| FOC 제어 | 벡터 전류 제어 | BLDC, PMSM | 고급 | 보통 있음 |
| 센서리스 | 센서 없이 추정 | BLDC | 고급 | 없음 |
🔧 마무리하며
모터를 얼마나 똑똑하게 제어하느냐에 따라, 같은 모터도 완전히 다른 성능을 보여줄 수 있어요.
특히 고속, 고정밀, 고효율 제어를 원한다면 PID + FOC + 센서 기반 클로즈 루프가 기본 조합입니다.