반응형
모터에서 자주 나오는 용어들
전기와 회전을 연결하는 핵심 개념들
모터를 제대로 이해하려면 몇 가지 중요한 물리량을 꼭 알고 넘어가야 해요. 그게 바로 전류, 전압, 토크, 효율입니다. 하나씩 살펴볼게요!
🔋 1. 전압(Voltage, V)
전압은 쉽게 말해 전기를 밀어주는 압력이에요.
모터에 전압을 높게 걸면 더 많은 전류가 흐를 수 있고, 더 강한 회전을 만들 수 있어요.
- 단위: 볼트(V)
- 역할: 모터에 전기를 "밀어 넣는" 힘
예시
전기차 배터리가 400V면, 그만큼 강한 전압으로 모터를 구동할 수 있다는 뜻!
🔌 2. 전류(Current, I)
전류는 도선을 따라 흐르는 전기의 양이에요.
전류가 많을수록 회전을 만들어내는 힘도 커집니다. 모터에서는 보통 토크와 직접적인 관계가 있어요.
- 단위: 암페어(A)
- 역할: 회전을 위한 자석을 강하게 만드는 힘
⚠️ 주의
전류가 많아질수록 발열도 커지기 때문에 적절한 제어가 중요합니다.
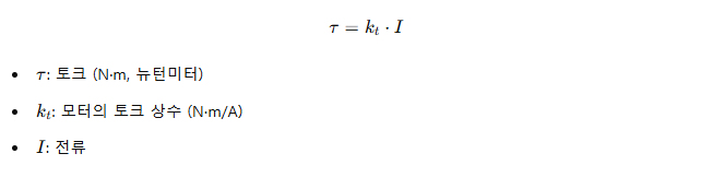
💪 3. 토크(Torque, τ\tau)
토크는 말 그대로 회전하는 힘의 크기를 말해요.
자동차로 치면 가속력, 드릴로 치면 뚫는 힘과 같다고 보면 돼요.

즉, 전류가 많을수록 토크가 커진다는 공식이에요. 그래서 무거운 걸 돌리려면 더 많은 전류가 필요하죠.
예시
전동 드릴을 쓸 때 고속으로는 잘 안 뚫리는데, 저속·고토크 모드로 바꾸면 더 잘 뚫리는 이유!
⚙️ 4. 효율(Efficiency, η)
효율은 모터가 얼마나 전기를 잘 써서 회전으로 바꿔주는지를 의미해요.

예시
같은 전력을 써도 어떤 모터는 열로 다 날려버리고, 어떤 모터는 회전에 집중하는데, 후자가 효율이 좋은 모터에요.
반응형
'모터제어' 카테고리의 다른 글
| 6. FOC (Field-Oriented Control) – 고성능 BLDC 제어의 핵심 (0) | 2025.04.05 |
|---|---|
| 5.모터제어 소프트웨어 구성 (0) | 2025.04.05 |
| 4.모터제어방식 (0) | 2025.04.05 |
| 3.모터의종류 (0) | 2025.04.05 |
| 1.모터란 무엇인가? (0) | 2025.03.30 |