반응형

분류 전체보기 9

9. FOC 시뮬레이션 – 수학으로 확인하는 정밀 제어의 힘

직접 돌리기 전에, 가상으로 돌려보자!🧠 왜 시뮬레이션이 중요한가요?FOC(Field-Oriented Control)는 수식과 벡터 기반 제어이기 때문에,수치 해석 기반 시뮬레이션을 먼저 해보는 것이 실제 구현보다 훨씬 안전하고 효율적입니다.이점설명💥 하드웨어 리스크 ↓과전류·불안정한 회전 없이 사전 확인 가능🧪 파라미터 튜닝PID, MTPA, 속도 응답성 확인🔍 내부 전류·자속 분석실시간 전류 벡터, 토크, 회전속도 가시화🧭 센서리스 실험도 가능추정된 위치 vs 실제 위치 비교 검증📁 시뮬레이션 구성 요소 (기본 블록)블록기능Motor Model (PMSM/IPMSM)모터의 전기적, 기계적 특성 모델링Clarke / Park Transform전류 변환PI Controller (id, iq)전..

모터제어 2025.04.12

8. 센서리스 FOC 제어 – 센서 없이 똑똑하게 모터를 돌리는 기술

센서리스 FOC 제어 – 센서 없이 똑똑하게 모터를 돌리는 기술“센서 없이도 정확히 돌아간다고요?”센서리스(Field-Oriented) 제어는 FOC의 진화를 상징합니다.📌 왜 센서 없이 제어할까?FOC(Field-Oriented Control)는 정밀한 제어를 위해 로터의 위치를 정확히 알아야 합니다.보통은 **홀 센서(Hall sensor)**나 **엔코더(Encoder)**를 이용해 회전자 각도 θ\thetaθ를 측정하죠.하지만 센서를 없애면 다음과 같은 이점이 생깁니다:장점설명💸 비용 절감센서 부품 제거로 원가 절감📦 구조 단순화배선, 마운트 없이 더 작고 가볍게 설계 가능⚙️ 내구성 향상센서 고장 가능성 제거, 유지보수 감소🌡️ 고온 환경 대응센서 없이 극한 환경에서도 안정적으로 구동 가..

모터제어 2025.04.12

7.IPM vs SPM 모터 구조 및 제어 방식 비교

1. SPM과 IPM의 구조 차이✅ SPM (Surface Permanent Magnet)자석이 회전자(Rotor)의 **표면(Surface)**에 부착되어 있음공극 자속 분포가 균일하여 단순하고 예측 가능자속 경로가 짧고 자속 밀도가 낮음 → 토크도 제한적✅ IPM (Interior Permanent Magnet)자석이 회전자 **내부(Interior)**에 매립되어 있음회전자 형태에 따라 자기저항(Reluctance) 차이가 발생자속+자기저항 토크를 동시에 생성할 수 있음고속 회전 시 자속 약화(Field Weakening) 제어에 유리🧠 2. 토크 발생 원리 비교 (핵심 차이)✅ IPM: 자속 토크 + 자기저항 토크 동시 발생⚙️ 3. 제어 전략 요약항목SPMIPM자석 위치표면내부주요 토크자속 토..

모터제어 2025.04.05

6. FOC (Field-Oriented Control) – 고성능 BLDC 제어의 핵심

6. FOC (Field-Oriented Control) – 고성능 BLDC 제어의 핵심모터를 전류 벡터로 제어하는 고급 기술BLDC나 PMSM 모터를 사용할 때 가장 강력한 제어 방식이 바로 **FOC(Field-Oriented Control)**입니다.이 제어 방식은 모터를 전류의 방향과 크기를 분해해서 제어하는 기술로, 고속·고효율·고정밀을 실현할 수 있어요.🎯 왜 FOC가 필요한가요?일반적인 PWM 제어나 단순 속도 제어는 다음과 같은 문제를 가집니다:고속 회전 시 진동 발생부하 변화에 대한 반응 속도 낮음효율 저하FOC는 이런 문제를 해결하기 위해 전류를 **벡터(Vector)**로 보고, 모터 내부의 자속 방향에 맞춰 정밀하게 제어합니다.🔄 전류를 분해해서 제어한다? (d-q 축 개념)​즉..

모터제어 2025.04.05

5.모터제어 소프트웨어 구성

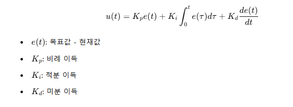
5. 모터 제어 소프트웨어 코드 구성PWM부터 PID까지, 코드로 구현하는 모터 제어의 전과정모터 제어는 단순한 “ON/OFF” 신호를 넘어서, 여러 하드웨어와 소프트웨어 모듈이 유기적으로 동작해야 합니다.이번엔 실제로 **MCU(Microcontroller Unit)**에서 동작하는 모터 제어 코드를 어떻게 구성하는지 알아보겠습니다.🧩 1. 전체 흐름 요약 – 제어 블록 구조모터 제어는 일반적으로 아래의 구조를 따라 구성됩니다.text복사편집[Sensor 입력] → [Target 계산] → [PID 제어] → [PWM 출력] → [Motor 동작] ✅ 각 블록 설명블록설명Sensor 입력위치/속도 센서(Hall, Encoder 등) 또는 전류 측정Target 계산목표 속도, 위치, 토크 설정 (명령 ..

모터제어 2025.04.05

4.모터제어방식

4. 모터 제어 방식 – 회전을 똑똑하게 제어하는 기술전기를 얼마나 똑똑하게 넣느냐가 성능을 결정한다모터는 단순히 전기를 연결한다고 해서 항상 잘 돌아가는 게 아니에요.**속도, 위치, 힘(토크)**을 우리가 원하는 대로 조절하려면 제어 방식이 아주 중요합니다.이번엔 모터를 제어하는 여러 방식과 원리를 수식과 함께 알아볼게요!🔁 1. 오픈 루프 제어 (Open Loop Control)"전기를 넣으면 돈다. 얼마나 돌지는 신경 안 쓴다."오픈 루프 제어는 입력만 조절하고, 출력(속도, 위치)은 측정하지 않는 방식이에요.대표적으로 스테퍼 모터에서 자주 사용되며, 예측 가능한 시스템에서만 효과적입니다.장점: 구조 단순, 빠른 반응단점: 외부 부하에 따라 출력이 바뀜예시text복사편집모터 PWM = 50% →..

모터제어 2025.04.05

3.모터의종류

3. 모터의 종류당신의 목적에 맞는 모터는 무엇인가요?세상에 존재하는 모터는 아주 많습니다. 하지만 구조와 작동 원리에 따라 대표적으로 아래 다섯 가지로 분류할 수 있어요:DC 모터브러시리스 DC 모터 (BLDC)스테퍼 모터유도 모터 (Induction Motor)서보 모터각각의 모터는 쓰임새도 다르고 제어 방식도 다르기 때문에, 상황에 맞는 선택이 중요합니다.⚙️ 1. DC 모터 (Brushed DC Motor)전류가 흐르면 도선이 자석 사이에서 힘을 받아 회전하는 가장 기본적인 모터입니다.브러시(Brush)와 정류자(Commutator)를 통해 전류 방향을 바꿔가며 지속적인 회전을 만들어냅니다.장점: 저렴하고 제어가 쉬움단점: 브러시 마모 → 수명 짧음, 소음용도: 완구, 팬, 간단한 구동 장치⚡ 2..

모터제어 2025.04.05

2.모터관련 용어 정리

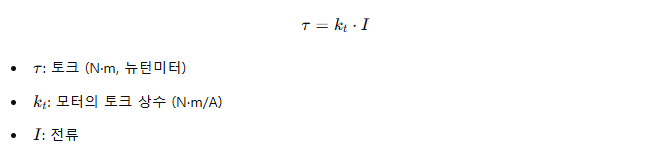
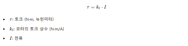
모터에서 자주 나오는 용어들전기와 회전을 연결하는 핵심 개념들모터를 제대로 이해하려면 몇 가지 중요한 물리량을 꼭 알고 넘어가야 해요. 그게 바로 전류, 전압, 토크, 효율입니다. 하나씩 살펴볼게요!🔋 1. 전압(Voltage, V)전압은 쉽게 말해 전기를 밀어주는 압력이에요.모터에 전압을 높게 걸면 더 많은 전류가 흐를 수 있고, 더 강한 회전을 만들 수 있어요.단위: 볼트(V)역할: 모터에 전기를 "밀어 넣는" 힘예시전기차 배터리가 400V면, 그만큼 강한 전압으로 모터를 구동할 수 있다는 뜻!🔌 2. 전류(Current, I)전류는 도선을 따라 흐르는 전기의 양이에요.전류가 많을수록 회전을 만들어내는 힘도 커집니다. 모터에서는 보통 토크와 직접적인 관계가 있어요.단위: 암페어(A)역할: 회전을 ..

모터제어 2025.03.30

1.모터란 무엇인가?

1. 모터의 정의 – 전기를 넣으면 ‘도는’ 기계모터(Motor)는 전기 에너지를 기계적인 회전 에너지로 바꾸는 장치입니다.그 말인즉, 전기를 넣으면 모터가 돌아가고, 그 회전을 이용해서 팬이 바람을 일으키거나 바퀴가 굴러가게 할 수 있다는 거죠.대표적인 예시:선풍기: 모터가 날개를 회전시켜 바람을 발생전기차: 바퀴와 직접 연결되어 차량을 움직임전동칫솔, 드론, 커피머신, 엘리베이터까지2. 모터의 작동 원리 – 전자기력, 로렌츠 힘(Lorentz Force)모터는 단순히 도는 게 아닙니다. 그 안에는 물리학의 근본 원리 중 하나인 로렌츠 힘이 숨어있습니다.✅ 로렌츠 힘이란?즉, 자기장 안에 있는 도선에 전류를 흘리면, 도선은 힘을 받아 움직이게 됩니다.이 힘이 반복적으로 작용하면 도선이 회전 운동을 하게..

모터제어 2025.03.30
반응형